Top.Mail.Ru

Практикум: Клинический случай ФН в практике к.м.н. Устюжаниной М. А.

Попытка 1 из 5
Пациент:

Мальчик, 1,5 месяца.

Анамнез:

Первый ребёнок в семье.

Наследственность по атопическим заболеваниям не отягощена. Беременность протекала физиологически. Роды — первые, выполнены оперативным путём (кесарево сечение) на сроке 39 недель. Масса при рождении — 3400 г, длина — 52 см.

До двухнедельного возраста ребёнок получал смешанное вскармливание, после чего был переведён на полное искусственное вскармливание с использованием стандартной адаптированной смеси на основе коровьего молока.

На фоне смены питания родители отметили появление симптомов:

  • повышенное газообразование,
  • эпизоды вечернего беспокойства,
  • напряжение живота,
  • плотный редкий стул (1 раз в 2–3 дня).

Попытки купировать симптомы с помощью укропной воды и симетикона эффекта не дали.

Осмотр

Длина тела — 54,7 см (Z-score длина к возрасту−0,1 SD, ВОЗ, 2009) – норма (рис.1)

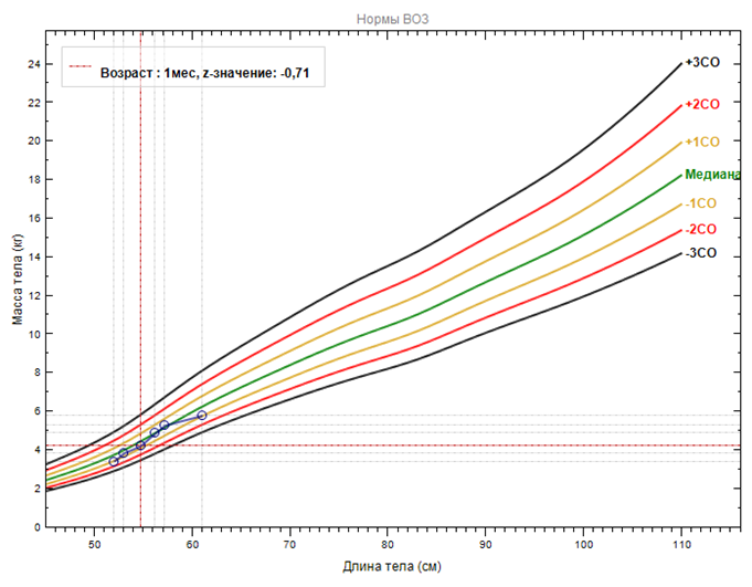
Масса тела — 4,2 кг (Z-score массы к длине −0,7 SD, ВОЗ 2009) – норма (рис.2)

Нутритивный статус соответствует возрастной норме, дефицита питания не выявлено

Кожа чистая, слизистые розовые

Живот умеренно вздут, перистальтика активная

Стул — плотный, оформленный, 1 раз в 2 дня 

Суммарный балл по шкале CoMiSS — 6 (плач — 2, срыгивания — 1, стул — 3) (таб.)

CoMiSS (Cow’s Milk-related Symptom Score) — инструмент для оценки симптомов, которые потенциально могут быть связаны с пищеварительным дискомфортом у младенцев. В данном случае использован как шкала динамического наблюдения, а не для диагностики АБКМ..

 

Рисунок 1. Z-score длины тела по возрасту (ВОЗ 2009): −0,1 SD WHO Anthro, длина/возраст
Рисунок 2. Z-score массы тела по длине: −0,7 SD WHO Anthro, масса/длина
Таблица. Шкала CoMiSS (Cow’s Milk-related Symptom Score) 
СимптомОценка (0–6 баллов)
Плач

0 — Менее 1 часа в день

1 — 1-1,5 часа в день

2 — 1,5-2 часа в день

3 — 2-3 часа в день

4 — 3-4 часа в день

5 — 4-5 часов в день

6 — Более 5 часов  в день

Срыгивания

0 — 0-2 эпизода в день

1 — 3-5 небольшого объема

2 — Более 5 объемом более кофейной ложки

3 — Более 5 объемом около половин съеденного менее чем в половине кормлений

4 — Постоянное в небольшом объеме в течение > 30 мин после каждого кормления

5 — От половины до всего объема порции во время половины кормления

6 — Вся порция после каждого кормления

Стул

4 — Твердый стул

0 — Нормальный стул

2 — Мягкий стул

4 — Жидкий стул, не связанный с инфекцией

6 — Водянистый

Кожные проявленияАтопическая экземаГолова, шея, туловищеРуки, ноги
Отсутствует00
Слабовыраженная11
Умеренная22
Тяжелая33
Крапивница: нет – 0, да – 6
Респираторные симптомы

1 — Слобовыраженные

2 — Умеренные

3 — Тяжелые

Вопрос 1 из 3

Какие дополнительные исследования необходимо назначить?

Пациент:

Мальчик, 1,5 месяца.

Назначить лечение
Яндекс.Метрика