Top.Mail.Ru

Практикум: Клинический случай ФН после антибиотикотерапии в практике к.м.н. Устюжаниной М. А.

Попытка 1 из 5
Пациент:

Мальчик, 5 месяцев.

Анамнез:

Второй ребёнок в семье, старшая сестра, 5 лет, здорова, посещает ДОУ.

Беременность — физиологическая. Роды — срочные, естественные, на сроке 40 недель.

Масса при рождении — 3300 г, длина — 51 см. С 1 месяца на искусственном вскармливании (стандартная смесь на основе коровьего молока).

Жалобы: 

В возрасте 3,5 месяцев перенёс ОРВИ, осложнённую острым средним отитом.

По месту жительства был назначен амоксициллин внутрь курсом 5 дней.

Через несколько дней после окончания антибиотикотерапии родители отметили:

  • снижение аппетита (ежедневно недоедал 100–150 мл);
  • появление водянистого или кашицеобразного стула до 3 раз в сутки;
  • урчание, газообразование, вздутие живота;
  • капризность, трудности с засыпанием.

По рекомендации участкового педиатра был назначен курс пробиотиков на 14 дней. На фоне терапии отмечалось улучшение стула и уменьшение газообразования, но:

  • аппетит оставался нестабильным;
  • сохранялись вечерняя капризность и эпизоды неоформленного стула;
  • Снизились весо-ростовые прибавки (нижняя граница нормы).
Осмотр

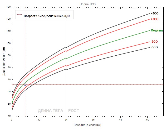
Длина тела — 64,9 см (Z-score длина к возрасту −0,88 SD, ВОЗ, 2009) 

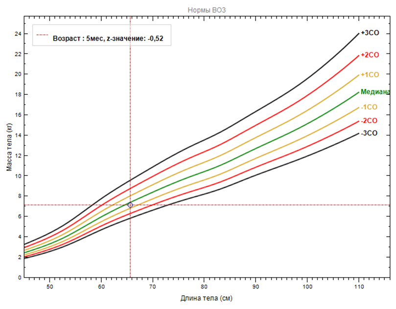
Масса тела — 7,10 кг (Z-score массы к длине −0,52 SD, ВОЗ, 2009) 

  • Нутритивный статус в пределах нормы;
  • Кожа чистая;
  • Живот мягкий, перистальтика активная;
  • Стул водянистый или кашицеобразный, до 3 раз в сутки, без патологических примесей;
  • CoMiSS при первичном осмотре — 6 баллов (плач — 3, стул — 3). Использован для динамического наблюдения. Не применяется как диагностический инструмент для АБКМ.

Рисунок 1.          
Z-score длины тела по возрасту (ВОЗ, 2009): −0,88 SD WHO Anthro, длина/возраст

Рисунок 2.          
Z-score массы тела по длине: −0,52 SD          
WHO Anthro, масса/длина

Таблица 3. Шкала CoMiSS (Cow’s Milk-related Symptom Score)
СимптомОценка (0–6 баллов)
Плач

0 — Менее 1 часа в день

1 — 1-1,5 часа в день

2 — 1,5-2 часа в день

3 — 2-3 часа в день

4 — 3-4 часа в день

5 — 4-5 часов в день

6 — Более 5 часов в день

Срыгивания

0 — 0-2 эпизода в день

1 — 3-5 небольшого объема

2 — Более 5 объемом более кофейной ложки

3 — Более 5 объемом около половины съеденного менее чем в половине кормлений

4 — Постоянное в небольшом объеме в течение > 30 мин после каждого кормления

5 — От половины до всего объема порции во время половины кормления

6 — Вся порция после каждого кормления

Стул

4 — Твердый стул

0 — Нормальный стул

2 — Мягкий стул

4 — Жидкий стул, не связанный с инфекцией

6 — Водянистый

Кожные проявленияАтопическая экземаГолова, шея, туловищеРуки, ноги
Отсутствует00
Слабовыраженная11
Умеренная22
Тяжелая33
Крапивница: нет – 0, да – 6
Респираторные симптомы

1 — Слабовыраженные

2 — Умеренные

3 — Тяжелые

Вопрос 1 из 3

Какие дополнительные исследования можно назначить ребёнку?

Пациент:

Мальчик, 5 месяцев.

Назначить лечение
Яндекс.Метрика